Tìm hiểu về đồng hồ quả lắc
Tích tắc, tích tắc là âm thanh chúng ta liên tưởng đến ngay khi nghĩ về đồng hồ, mặc dù đại đa số những cỗ máy đếm thời gian ngày nay hầu như không tạo ra bất kỳ âm thanh nào. Còn vài thập niên trước đây, hầu như mọi chiếc đồng hồ treo tường, đồng hồ để bàn và đồng hồ đeo tay đều phát ra tiếng tính tắc bởi đó là những cỗ máy cơ khí toàn bộ mà không có sự tham dự của dòng điện hay điện tử.
Thay vì được cung cấp năng lượng bởi một khối gọi là “pin", năng lượng để đồng hồ hoạt động đến từ hành động lên cót: tra khóa vào ổ và có thêm một thanh dài bên trong gắn với con lắc. Tất cả đều có mục đích là đảm bảo các bánh răng sẽ quay “tít” chính xác. Vậy những chiếc đồng hồ quả lắc vận hành như thế nào?
![]()
Con lắc là gì?
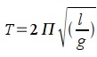
Con lắc là một bộ phận bao gồm một thanh treo thẳng đứng từ đầu trên và một quả nặng/quả lắc bên dưới. Quả nặng hay con lắc này sẽ dao động qua lại theo lực hấp dẫn. Như nhà khoa học người Ý, Galileo Galilei (1564 - 1642) đã phát hiện là con lắc sẽ chuyển động qua lại trong cùng một khoảng thời gian, cái mà gọi là con lắc đẳng thời. Về lý thuyết, điều duy nhất ảnh hưởng đến tốc độ dao động của con lắc là chiều dài và độ lớn của trọng lực. Đối với những dao động tương đối nhỏ, thời gian (T) cần thiết để thực hiện một dao động hoàn chỉnh (được gọi là chu kỳ ) được tính theo phương trình nhỏ sau:
![]()
T bằng hai lần số pi nhân căn bậc hai của (l chia cho g).
Ở đây, l là chiều dài của con lắc và g là thước đo độ lớn của trọng lực (cái mà chúng ta gọi là gia tốc trọng trường). Bạn có thể thấy từ phương trình này rằng nếu tăng gấp bốn lần chiều dài của con lắc, thời gian thực hiện một “cú lắc" sẽ tăng gấp đôi.
Con lắc hoạt động như thế nào?
Con lắc hoạt động bằng cách chuyển đổi năng lượng qua lại, giống như đi tàu lượn siêu tốc. Khi quả lắc ở vị trí cao nhất (xa nhất so với mặt đất), nó có năng lượng dự trữ tối đa (thế năng). Khi nó tăng tốc về điểm thấp nhất (điểm giữa, gần mặt đất nhất), thế năng này được chuyển thành động năng (năng lượng chuyển động) và sau đó, khi quả lắc leo lên trở lại, trở lại thành thế năng. Vì vậy, khi quả lắc lắc lư (dao động) tới lui, nó liên tục chuyển đổi năng lượng qua lại giữa thế năng và động năng. Một cái gì đó hoạt động theo cách này được gọi là bộ dao động điều hòa và chuyển động của nó là một ví dụ về chuyển động điều hòa đơn giản.
Tranh vẽ: Một con lắc luôn hoán đổi giữa thế năng và động năng.

Nếu không có ma sát hoặc lực cản (lực cản của không khí) thì con lắc sẽ tiếp tục chuyển động mãi mãi. Trên thực tế, mỗi cú xoay có ma sát và lực cản lấy đi một chút năng lượng từ con lắc và nó dần dần dừng lại. Nhưng ngay cả khi chuyển động chậm lại, nó vẫn giữ được thời gian như cũ. Nó không leo xa như ban đầu nhưng con lắc lại di chuyển quãng đường ngắn, chậm hơn nên thực tế nó mất khoảng thời gian giống nhau. Khả năng này (về mặt kỹ thuật được gọi là đẳng thời, chỉ có nghĩa là "lượng thời gian bằng nhau") là điều khiến con lắc trở nên hữu ích trong việc đo thời gian.
![]()
Đồng hồ quả lắc được hình thành nhưng chưa bao giờ được hoàn thiện bởi Galileo Galilei - khoảng năm 1637
Galileo đã phát hiện ra điều đó ngay lập tức mặc dù ông chưa bao giờ thực sự chế tạo được một chiếc đồng hồ quả lắc hoàn chỉnh. Ông đã đi đến khá gần với khái niệm đồng hồ hoàn chỉnh. Công việc này được giao cho một nhà khoa học lỗi lạc khác, người Hà Lan Christiaan Huygens (1629 - 1695), hoàn thành công việc này vào những năm 1650.
“Tôi không sử dụng con lắc treo bằng một sợi dây mà là một con lắc nặng và chắc chắn, chẳng hạn như bằng đồng thau hoặc đồng thau... và theo nguyên tắc mới này, con lắc tạo ra những dao động lớn và nhỏ trong cùng một thời điểm. Chính xác thì họ sẽ phát minh ra những phương pháp tinh vi hơn bất kỳ điều gì tôi có thể đề xuất… ”
Đồng hồ quả lắc hoạt động như thế nào?
Để cho kim tự mình di chuyển trên mặt số, người thợ đồng hồ đã quấn một đoạn dây quanh trục và gắn nó với một con lắc (vật nặng). Khi con lắc rơi xuống, nó sẽ kéo khiến trục quay, điều này cũng làm kim giây quay, đồng thời cũng làm các bộ phận khác chuyển động. Vấn đề duy nhất ở đây là quả lắc sẽ rơi xuống nhanh và điều đó cũng khiến kim giây quá nhanh nên đồng hồ cũng sẽ không chạy đúng giờ.
Đó là lúc cần tới thêm một bộ bánh răng khác với tên gọi “bánh răng trợ lực", để phân biệt với bộ bánh răng báo giờ. Những bánh răng trợ lực sẽ lấy phần năng lượng dư lúc quả lắc rơi xuống, và biến đổi chúng để khi quả lắc rơi xuống, kim giây sẽ nhích đúng một bước trên mặt số trong một giây. Nhưng như vậy vẫn chưa đủ bởi quả lắc sẽ tăng tốc khi đi xuống, giấy bất kỳ vật thể rơi tự do nào.
![]()
Vấn đề này sẽ được giải quyết với một cơ chế điều chỉnh tốc độ của quả lắc, cho phép kim giây chỉ nhích lên 1 giây trên mặt số trong đúng 1 giây. Khi con lắc chuyển động qua lại, nó sẽ làm di chuyển một đòn bẩy của bộ thoát để khoá, và sau đó sẽ mở khi con lắc rơi xuống. Chính việc khoá-mở lặp đi lặp lại này tạo ra âm thanh tích tắc mà chúng ta nghe thấy ở đồng hồ. Vì (ít nhất là trên lý thuyết) một con lắc có chiều dài nhất định luôn mất một khoảng thời gian như nhau để dao động qua lại, nên con lắc là thứ giữ cho đồng hồ chạy đúng giờ. Cơ chế thoát mà con lắc điều chỉnh cũng giữ cho con lắc chuyển động qua lại (một cách khéo léo) bằng cách liên tục đẩy nhẹ - như một kiểu tiếp thêm năng lượng để chống lại ma sát và lực cản.
Những mô tả trên không hẳn là toàn bộ 100% hoạt động của đồng hồ quả lắc, chỉ là diễn giải đơn giản nhất.
Bộ thoát của đồng hồ quả lắc: Bộ thoát qua lại cho phép các bánh răng chỉ chuyển động ở tốc độ nhất định, được điều khiển bởi dao động của con lắc.

Hình ảnh về hoạt động của bộ thoát: 1- quả lắc rơi xuống cung cấp năng lượng cho đồng hồ. 2- Khi rơi xuống, quả lắc sẽ kéo các bánh răng xung quanh. Nếu để nó tuỳ ý dao động, quả lắc sẽ tăng tốc và lao xuống càng nhanh. 3- Bộ thoát giữ và nhả các bánh răng để bánh răng quay với tốc độ không đổi, đảm bảo đồng hồ vận hành chính xác. 4- Con lắc di chuyển qua lại cũng làm bộ thoát dịch chuyển.
![]()
Bộ thoát nằm giữa con lắc và các bánh răng gắn với các kim quay quanh mặt đồng hồ. Bạn sẽ thấy nó rõ hơn trong sơ đồ này của Christiaan Huygens, vẽ từ năm 1673. Ở bên trái (màu đỏ) là một con lắc dao động. Con lắc làm di chuyển bộ thoát (màu xanh), cung cấp năng lượng cho các bánh răng (màu cam) và kim trên mặt số (màu vàng).
![]()
Tóm lại, các bộ phận chính của đồng hồ quả lắc là:
- Mặt số và bộ kiếm báo thời gian
- Quả lắc có thể dự trữ năng lượng (thế năng) và giải phóng năng lượng khi nó rơi xuống từ từ trong một ngày (hoặc vài ngày). Việc lên cót cho đồng hồ sẽ kéo quả lắc lên, tích trữ thêm thế năng để cung cấp năng lượng cho cả bộ máy.
- Một bộ bánh răng trợ lực lấy năng lượng từ khi quả lắc rơi xuống để đưa đồng hồ vận hành với tốc độ chính xác. Nếu sử dụng một quả lặc thực sự nặng và các bánh răng trợ lực phù hợp, quả lắc sẽ tích trữ đủ năng lượng đảm bảo đồng hồ có thể hoạt động trong nhiều ngày mà không cần phải lên cót. (Hãy nhớ định luật bảo toàn năng lượng: đồng hồ chạy càng lâu thì càng sử dụng nhiều năng lượng; một chiếc đồng hồ có quả lắc nặng hơn có thể tích trữ nhiều thế năng hơn nên nói chung, nó sẽ chạy mà không lên dây lâu hơn đồng hồ có quả lắc nhẹ hơn)
- Một bộ bánh răng cho chức năng báo giờ, nó có tác dụng làm các kim quay quanh mặt số. Chúng thường được chế tạo mịn hơn và chính xác hơn so với các bánh răng trợ lực.
- Một con lắc và bộ thoát điều chỉnh tốc độ của đồng hồ và giữ cho nó (ít nhiều) không đổi.
Trong thực tế, đồng hồ có rất nhiều linh kiện, bộ phận và tính năng khác mà các nhà chế tác đồng hồ bậc thầy (thợ làm đồng hồ bậc thầy) muốn tuỳ theo họ thêm vào chức năng gì.
![]()
Một số nhược điểm của đồng hồ quả lắc
Một trong những chiếc đồng hồ quả lắc chính xác nhất từng được chế tạo trước khi những công nghệ tốt hơn khiến chúng trở nên lỗi thời. Nó là tiêu chuẩn cho biết thời gian chính thức của Hoa Kỳ từ năm 1904 cho đến năm 1929. Chiếc đồng hồ này được sản xuất bởi Clemens Riefler ở Đức. Ảnh do Viện Tiêu chuẩn và Công nghệ Quốc gia cung cấp, Gaithersburg, MD 20899.
![]()
Chiều dài của con lắc bị thay đổi, do tác động của nhiệt độ vì kim loại nở ra khi nóng và co lại khi lạnh.
Cường độ mà lực hấp dẫn tác động lên các vật thể là khác nhau, và nó mạnh nhất khi bạn càng gần ở tâm của trái đất, và lực hấp dẫn cũng giảm đi một chút khi chúng ta leo lên núi nhưng sẽ còn tăng nhiều hơn nếu chúng ta đến gần mực nước biển.
Điều đó có nghĩa là cùng một chiếc đồng hồ quả lắc sẽ có độ chính xác không đồng nhất nếu ở Việt Nam và Đức. Và nói về biển, hãy tưởng tượng có một chiếc đồng hồ quả lắc trên một con tàu. Tất cả sự dao động và lăn của sóng sẽ tác động như thế nào đến chuyển động của con lắc của bạn?
![]()
Vấn đề đầu tiên – chiều dài thay đổi một chút của con lắc – tương đối dễ giải quyết. Chúng tôi chỉ đơn giản sử dụng các con lắc bù có khả năng tự động điều chỉnh ("bù") khi nhiệt độ thay đổi. Hai loại ban đầu là con lắc thủy ngân (kết hợp các ống thủy tinh chứa đầy thủy ngân lỏng) và con lắc lưới (được chế tạo bằng cách sử dụng hai kim loại khác nhau, chẳng hạn như thép và đồng, kẽm và thép, hoặc thép và đồng thau, triệt tiêu sự giãn nở và co lại của nhau). Vào đầu thế kỷ 20, người ta bắt đầu chế tạo con lắc từ một vật liệu mới gọi là invar ( hợp kim của niken và thép), chất này giãn nở rất ít khi nhiệt độ thay đổi và hầu như đã giải quyết được vấn đề.
Tuy nhiên, bạn không thể làm được gì nhiều về trọng lực và đối với việc sử dụng đồng hồ quả lắc trên tàu, bơi vậy các loại máy đo thời gian tốt hơn dần được phát triển khiến đồng hồ quả lắc dần trở nên không cần thiết.

